Find The Remaining Trigonometric Functions Calculator
Get link
Facebook
X
Pinterest
Email
Other Apps
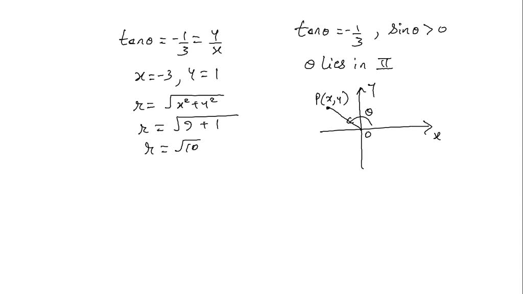
Find The Remaining Trigonometric Functions Calculator. This website uses cookies to ensure you get the best experience. The field emerged in the hellenistic world during the 3rd century bc from applications of geometry to astronomical studies.
[Solved] Find the exact value of each of the remaining trigonometric from www.coursehero.com
Click on the calculate button to find the trigonometric function values for a given. Using calculator, we mayexecute the following syntax. Choose which units you use to measure the angle.
These Trig Functions Allow You To Find Missing Sides Of Triangles.
This online trigonometry calculator will calculate the sine, cosine, tangent, cotangent, secant and cosecant of angle values entered in degrees or radians. Show morefind the remaining trigonometric functions math trigonometry question find the remaining trigonometric functions solution: You may also change the number of decimal places desired for the calculations.
Using Calculator, We Mayexecute The Following Syntax.
Mathematics is definitely among the top fears of students across the globe. Cos of an angle is the ratio of the side. Online calculator that calculates the six trigonometric functions:
Using The Trigonometric Functions Calculator.
Use the trigonometry calculator to calculate the value of any trigonometry function. This website uses cookies to ensure you get the best experience. Π/4 (pi/4) = 0.7853 ;
For Output, Press The “Submit Or Solve” Button.
Find the value of the following trigonometric function using a calculator: To use the tool to find the results of the trigonometric functions for a given angle, enter the angle, choose how its measured (degrees or radians) and compute. By using this website, you agree to our cookie policy.
A New Era For The Science Of Triangles.
The trigonometric functions are periodic, with a period of 360° or 180°, as a result of these findings. () please select between radians and degrees first! Using calculator, we mayexecute the following syntax.
Calculate Cross Sectional Area . (1) into this relationship and calculate the diameter of the copper wire to arrive at a diameter of 0.009062 meters. The calculated properties are not specific to any material, but depend on the shape of the section only. Cross Sectional Area from www.slideshare.net (1) into this relationship and calculate the diameter of the copper wire to arrive at a diameter of 0.009062 meters. Original ground level (ogl) (survey data) final level: Download an image of your cross section and print the data calculations used to.
12V Dc Wire Size Calculator . Enter a value for the source voltage, e.g., 12 v. For a 48v system multiply the distance taken from the 24v chart by 2. 16 Most 12 Volt Wire Gauge Chart Ideas Tone Tastic from tonetastic.info For most applications, an overcurrent device should be sized about 125% of the load’s rated amperage. · the app calculates the minimum wire size using voltage drop requirements (either 10% or 3% depending on your application), conductor max ampacity, insulation temperature rating, conductor bundling and more. For a 48v system multiply the distance taken from the 24v chart by 2.
Difference Of Cubes Calculator . Enter the value of a and b in the input field in the input field. Practice your math skills and learn step by step with our math solver. The formula for a^3 b^3 [the difference of cubes] from lunlun.com You can find the value of cube difference with the formula below. Using proportion to solve measurement. Encuentra la diferencia de dos cubos
Comments
Post a Comment